- 選択してください
微細素子を用いた磁壁移動現象の機構解明
磁性体における様々な物理現象をナノスケールで捉え、物理的機構をミクロスコピックに理解することでも、省エネルギー社会への磁性分野からの貢献を目指しています。
右に示す実験例では、Pt/Co/MgOやPt/Co/IrMnの多層膜やNdFeB磁石を微細な素子に加工し、電気測定や光学測定を駆使することで、磁壁移動現象の機構解明に取り組んでいます。また、磁歪効果を取り込んだマイクロマグネティックシミュレーションによる高周波磁気緩和過程の調査にも取り組んでいます。



磁歪効果を取り込んだ
高周波磁気緩和過程の調査

NdFeB磁石における
Barkhausen効果の観測

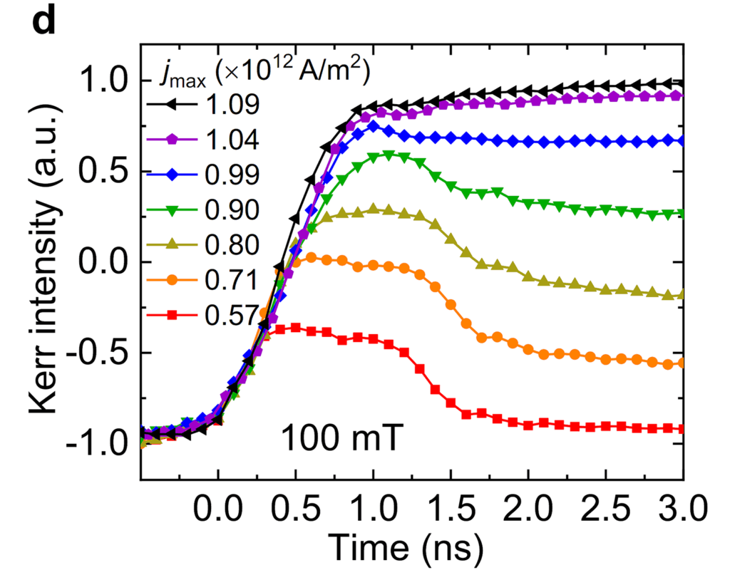
時間分解Kerr効果顕微鏡による
磁化反転過程の観測
We study nano-scale magnetic dynamics to reach low energy-loss societies through magnetism. For instance, we patterned tiny structures from multilayers or NdFeB permanent magnets and studied magnetic domain-wall dynamics in the systems using electrical measurements and optical measurements. Additionally, we study the iron-loss mechanism using micromagnetic simulation including magnetostriction terms.
T. Taniguchi et al., J. Magn. Magn. Mater. 511, 1, 166999 (2020).
T. Yomogita et al., Acta Mater. 201, 7 (2020).
Y. Wang, T. Taniguchi et al., Nat. Electron. 5, 840 (2022).
H. Tsukahara et al., NPG Asia Materials 14:44 (2022).
- 選択してください